光が2つの異なる媒体の間を通り抜けるときどのような現象が起きるかをのべます。
よく知られているように誘電率の異なる媒体の界面では反射がおきるとともに、光が界面に斜めに入射すると屈折が起きます。
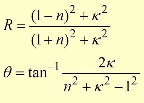
一般に反射の際には光の位相の変化も起きます。反射率や位相の変化は媒体の屈折率と消光係数を使って記述できます。
物質表面に光が入射するとき、界面をはさんで入射光・反射光側と透過光側の間には波数ベクトルの界面に平行な成分の連続性および、電界と磁界の界面に平行な成分の連続性が成り立ちます。
これから屈折の法則、反射の法則が導かれます。
光が斜め入射するとき、偏光の向きが入射面に垂直か、面内にあるかで反射率や反射の際の位相の飛びが異なります。
この性質を使って物質の屈折率や消光係数さらには薄膜の厚さなどを精密に求めることができます。この技術はエリプソメトリと呼ばれています。
一般に電磁波においては、電界ベクトルEと磁界ベクトルHは直交しています。
1808年,ナポレオン軍の陸軍大尉で技術者のE.L. Malus がパリのアンフェル通りの自宅の窓からリュクセンブール宮の窓で反射された夕日を方解石の結晶を回転させながら覗いていた時、偏光の概念を見出しました。
偏光.comのホームページ参照
偏光面が一つの平面に限られたような偏光を直線偏光と呼びます。
偏光の向きが時間的空間的に一様に分布している光を自然光といいます。
自然光から直線偏光を取り出すための素子を直線偏光子といいます。
直線偏光子には、複屈折偏光子、線二色性偏光子、ワイヤグリッド偏光子、ブリュースタ偏光子などがあります。
複屈折偏光子(偏光プリズム)

線二色性偏光子(偏光フィルム)

ワイヤグリッド偏光子

ある位置で見た電界(または磁界)ベクトルが時間とともに回転するような偏光を一般に楕円偏光といいます。
光の進行方向に垂直な平面上に電界ベクトルの先端を投影したときその軌跡が円になるものを円偏光といいます.円偏光には右(回り)円偏光と左(回り)円偏光があります。
(どちらが右まわりでどちらが左まわりかは著者により定義が異なっているので注意。 )
円偏光は、直交する2つの直線偏光の合成で、両偏光の振動の位相の間に90°の差がある場合であると考えられます。
物体に直線偏光を入射したとき、透過してきた光の偏光面がもとの偏光面の方向から回転していたとすると,この物体は自然旋光性を持つといいます。
水晶、ブドウ糖、ショ糖、酒石酸等
これらの物質には原子の並びにらせん構造があって,これが旋光性の原因になります。
物質の旋光性をはじめて見つけたのは、フランスのArago(1786-1853)で、1811年に,水晶においてこの効果を発見しました。
Aragoは天文学者としても有吊で、子午線の精密な測量をBiot(1774*1862)とともに行い、スペインでスパイと間違われて逮捕されるなど波爛に満ちた一生を送った人です。
ちなみに、Biotはビオ・サヴァールの法則の発見者の1人としても有吊です。
Aragoの発見は Biotに引きつがれ、旋光角が試料の長さに比例することや、旋光角が波長の二乗に反比例すること(旋光分散)等が発見されました。
酒石酸の水溶液などでは、右円偏光と左円偏光とに対して吸光度が違うという現象があります。これを円二色性といいます。
この効果を発見したのはAimé Auguste Cotton (1869 - 1951)というフランス人で1869年のことです。
彼は左図のような装置を作って眺めると左と右の円偏光に対して明るさが違うことを発見しました。
円二色性がある物質に直線偏光を入射すると透過光は楕円偏光になります。
酒石酸
ワインは、葡萄果実の酸を持つ酒で、この酸は主として酒石酸である。ワインの中では、大部分が酸性の酒石酸カリウムとして存在している。この酸性酒石酸カリウムは、非常に溶解度が小さく、時に結晶として析出する。この結晶が「酒石《で、「ワインのダイヤモンド《とも呼ばれている。ワインのボトルを低温下で長期間保存すると、酒石が徐々に析出する。 |
図のような座標系を考えます。
ここでは入射面について考えます。
波数ベクトルの界面成分の連続性から
K0x=K1x=K2x
K0sinΨ0=K1sinΨ1=K2sinΨ2 (3.1)
(1)より
sinΨ2/sinΨ0=K0/K2 (3.2)
マクスウェルの方程式より
K0= K1 = ωε11/2/c =ωn1/c
K2 = ωε21/2/c = ωn2/c
これらを代入して(2)は
sinΨ2/sinΨ0= (ωn1/c)/(ωn2/c)=n1/n2 (3.3)
となって、スネルの法則が得られます。
I=(ε/2)|E|2 (3.4)
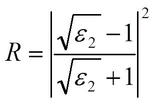
R=r*r=|r|2 (3.6)
これは実数で、普通に反射率といえばこれを指します。
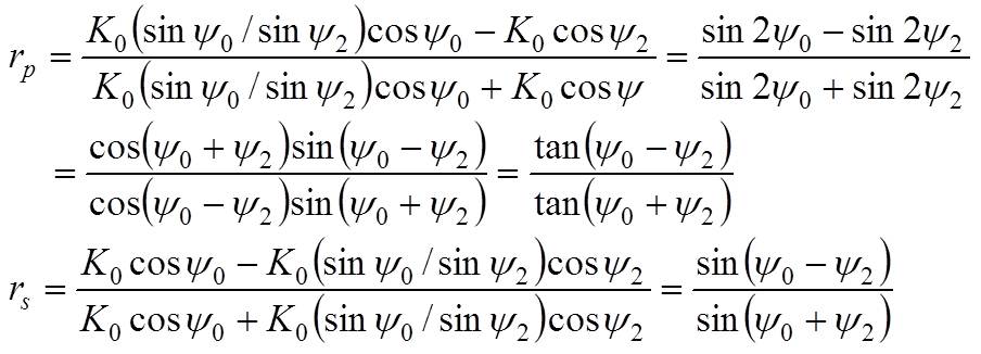
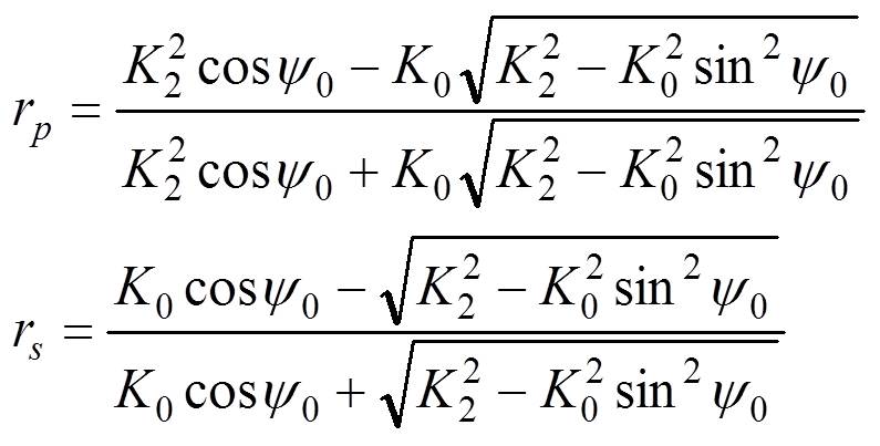
入射光の波数をK0、透過光の波数をK2、入射角をΨ0、出射(屈折)角をΨ2とすると、
フレネル係数rp=|rp|eiδp、rs=|rs|eiδsは
(3.7)
(3.8)
斜め入射の場合の光強度の反射率の式は
(3.9)
スネルの法則を適用してΨ2をΨ0で表すことにより、フレネル係数をΨ0を使って記述しますと、
(3.10)
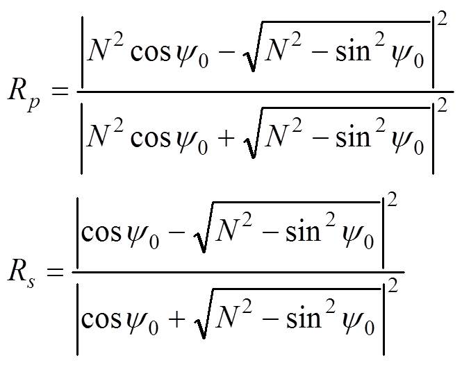
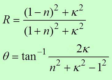
第1の媒体が真空、第2の媒体の複素屈折率がNの場合についてp, s両偏光に対する反射率を求めると、下の式であらわされます。
(3.11)

(3.12)
ここに Ψ azimuth (方位角)、Δ phase (位相差) です。
反射は方位角Ψと位相差Δ=δp-δsによって記述できます。
反射光は一般には楕円偏光になっていますが、そのp成分とs成分の逆正接角Ψと位相差Δを測定すればεrが求められます。
(測定には1/4波長板と回転検光子を用います。)この方法を偏光解析またはエリプソメトリといいます。


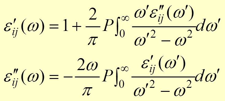
Ψ, Δから次式でεr', εr"が求められます。
(3.13)
n2=(|εr |+ εr')/2 , κ2=(|εr |- εr')/2 (3.14)
ここに、|εr |=(εr'2+εr"2)1/2 (3.15)
(3.16)
(3.17)
(3.18)
(3.19)
(3.20)
(3.21)
(3.22)
(3.23)

(3.24)
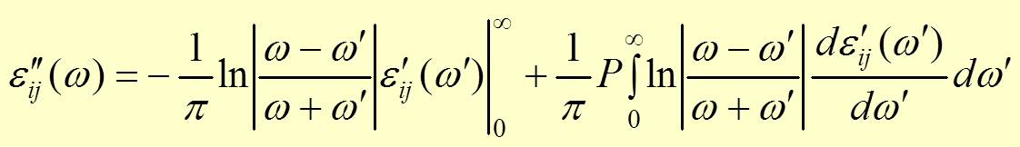
右辺の第1項は0なので、結局第2項のみとなります。被積分関数はω’~ω付近で大きい値をとるので、ε“はε‘の微分形に近いスペクトル形状を示すことになります。
ε‘がピークを持つωではε“は急激に変化し、ε’が急激に変化するω付近でε”は極大(または極小)を示します。